A estimativa da incerteza de medição para uma grandeza expressa por uma função conhecida pode ser avaliada através da expansão pela série de Taylor.
Seja uma grandeza G definida em função de diversas grandezas estatisticamente independentes relacionadas por:
"As grandezas são consideradas estatisticamente independentes quando a variação de uma não influencia na variação das outras, ou seja, todas se comportam de forma desvinculada. Estatisticamente, estas variáveis apresentam coeficiente de correlação zero." 1
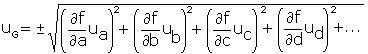
Com a expansão em série de Taylor chega-se a seguinte expressão:

onde:
é a derivada parcial em relação a enésima variável e
un é a incerteza da enésima variável.