Incerteza de Medição
Curso

Atividade 3: Resposta

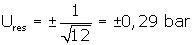
Nesta situação, como valor do padrão é fixado pelo valor da massa padrão, devo realizar a leitura no manômetro, que é o objeto de calibração. Assim, a distribuição adotada para a resolução de leitura é a retangular.

Logo:

Resolução de leitura adotada pelo laboratório de calibraçãoAtividade 3
AccueilDesenvolvido por Digital SKRealizado com SCENARI